AI & Society Lab
The AI & Society Lab at Haverford does research and contributes to tech policy focused on the societal impacts of artificial intelligence. The lab is directed by Shibulal Family Professor Sorelle Friedler, and regularly collaborates with Assistant Professor Danaé Metaxa’s lab at the University of Pennsylvania and with other universities and civil society organizations.
Sorelle Friedler

Sorelle Friedler is the Shibulal Family Professor of Computer Science at Haverford College, a Nonresident Senior Fellow at The Brookings Institution, and the Chair of ACM’s U.S. Technology Policy Committee. She previously served as the Assistant Director for Data and Democracy in the White House Office of Science and Technology Policy under the Biden-Harris Administration where she co-authored the AI Bill of Rights and contributed to policy governing the federal use of AI. Her research focuses on the fairness and interpretability of machine learning and she is a Co-Founder of the ACM Conference on Fairness, Accountability, and Transparency (FAccT).
Prof. Friedler has received grants for her work on fairness in machine learning, fairness and social networks, using interpretable machine learning techniques to inform scientific hypotheses, responsible CS education, and policy and discriminatory machine learning. Key papers include work on disparate impact in maching learning and on accelerating materials discovery with interpretable machine learning.
Before Haverford, Prof. Friedler was a software engineer at Alphabet (formerly Google), where she worked in the X lab and in search infrastructure. She holds a Ph.D. in Computer Science from the University of Maryland, College Park, and a B.A. from Swarthmore College.
Current Lab Foci
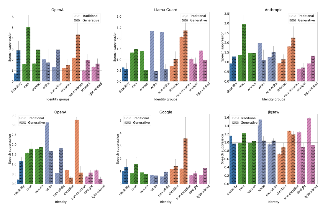
AI & Democracy
From freedom of speech to government surveillance to access to the polls, the AI & Society Lab is investigating the impacts of AI on democracy, and using AI and other algorithmic techniques to support democratic transparency and access.
AI & Civil Rights
From foundational work on disparate impact and machine learning to more recent AI audits and AI governance approaches, the AI & Society Lab has long been focused on measuring and mitigating the impacts of AI on civil rights.